Địa chỉ: Tòa CT5 MDHI - Ngõ 89 Lê Đức Thọ - Mỹ Đình - Tp. Hà Nội
Email: kinhdoanhbcd@gmail.com
Trang chủ / Tin tức
Relief valve – van giảm áp ? I. Các loại Relief valve : * Phụ thuộc vào việc sử dụng TRỤC hoặc MÀNG để cách ly môi trường…
Lĩnh vực ứng dụng của ống UPVC ? 1. Đối với các công trình đường ống nước máy (bao gồm cả cấp nước trong nhà và…
Sự khác nhau giữa ống PVC và UPVC là gì ? 1.Sự khác biệt lớn nhất : UPVC (polyvinyl clorua unplasticized) cũng là một dạng PVC…
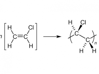
Nhựa PVC là gì ? – Polyvinyl clorua Polyme ? Tất cả chất dẻo, sợi, vinyl, cao su, v.v … đều được gọi là polyme. Polyme theo…
Ống PVC-C là polyvinyl clorua clo hóa, được sử dụng trong hệ thống thoát nước. Ống uPVC là ống polyvinyl clorua cứng được sử…
Khi động đất xảy ra, hệ thống đường ống phun nước chữa cháy nói chung không thể duy trì hình dạng hoàn chỉnh, do đó hệ…
PVC được biến đổi bằng cách khử trùng bằng clo để thu được CPVC vật liệu hiệu suất cao. Sau khi sửa đổi, nhiệt độ…
Tuổi thọ lão hóa đề cập đến hiện tượng hiệu suất của vật liệu polyme dần suy giảm do tác động kết hợp của các yếu…
Được sử dụng rộng rãi trong việc xây dựng và cải tạo lưới điện đô thị; các dự án cải tạo thành phố đô…
Giới thiệu và ưu điểm của ống cấp nước polyvinyl clorua cứng hiệu suất cao PVC-UH: Ống cấp nước polyvinyl clorua cứng…
Chữ U trong ống PVC-U, nguyên văn của nó là unplasticized, tức là không thêm chất hóa dẻo. PVC-U tương đương với UPVC. Nó là…
Ống nhựa upvc được sử dụng rộng rãi trong lĩnh vực ống nước và là vật liệu quan trọng trong ngành vật liệu xây…
Tính ưu việt của ống điện cpvc 1. Ống nguồn có khả năng cách điện tuyệt vời. 2. Ống nguồn có nhiệt độ biến…
Phương pháp sửa chữa rò rỉ nước đường ống CPVC ① Nếu vật liệu ống bị hư hỏng trên diện rộng thì cần thay thế…
Ống công nghiệp CPVC: Ống composite khung lưới thép nhựa (polyetylen) là một khung xương lưới thép được hình thành bởi dây…
Ưu điểm của ống cpvc là gì và cách chọn ống FRP 1. Cấp độ chống cháy rất mạnh. Mặc dù trông rất giống nhựa, nhưng…
Back
Next
CÔNG TY TNHH HỖ TRỢ PHÁT TRIỂN NGÀNH NƯỚC BCD
Tòa CT5 MDHI - Ngõ 89 Lê Đức Thọ - Mỹ Đình - Tp. Hà Nội
Hotline: 0354368886
Email liên hệ: kinhdoanhbcd@gmail.com
Website: https://nganhnuoc.vn/
Dịch Vụ
Gọi điện
Bản đồ
Zalo
Messenger